Pengertian Uji Ninhidrin #
Uji Ninhidrin atau tes ninhidrin adalah uji yang digunakan untuk menunjukkan adanya asam amino dalam zat yang di uji. Dalam uji ini digunakan larutan ninhidrin untuk mendeteksi semua jenis asam amino. Ninhidrin (2,2-Dihydroxyindane-1,3-dione) merupakan senyawa kimia yang digunakan untuk mendeteksi gugus amina dalam molekul asam amino.
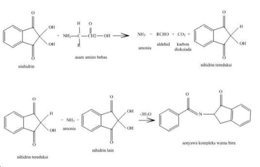
Reaksi Uji Ninhidrin #
Ninhidrin adalah suatu senyawa oksidator kuat yang apabila bereaksi dengan asam α amino akan menghasilkan warna ungu. Reaksi ini terjadi dengan senyawa amin primer dan ammonia tanpa pembebasan CO. Reaksi ninhidrin digunakan untuk mengetahui adanya kandungan asam α-amino
Reaksi yang terjadi pada uji ninhidrin ini adalah :

), karbondioksida dan gugus aldehidnya lepas ke lingkungan. Kemudian ninhidrin tereduksi dan
\\(NH_3\\) ditambah ninhidrin baru diproses secara kondensasi menghasilkan garam diketo-hydrihalide-diketo-hydramine yang menyebabkan warna ungu.
Prinsip Kerja Uji Ninhidrin #
Prinsip kerja uji ninhidrin ini adalah menguji ada atau tidaknya protein dalam suatu senyawa dengan penambahan reagen ninhidrin untuk mengetahui jumlah kadar asam amino bebas yang terkandung didalamnya, dimana asam amino bebas akan bereaksi dengan ninhidrin dan membentuk senyawa kompleks berwarna ungu. Reaksi ini terjadi dengan senyawa amin primer dan ammonia tanpa pembebasan CO.
Cara kerja uji ninhidrin :
- Memasukkan 2 ml zat yang akan diuji dalam tabung reaksi
- Menambahkan 5 tetes larutan ninhidrin 0.1%.
- Memanaskan dalam penangas air selama 10 menit.
- Mengamati warna terbentuk pada zat yang diuji.
Uji Positif Tes Ninhidrin #
Asam amino bereaksi dengan ninhidrin membentuk aldehida dengan satu atom C lebih rendah dan melepaskan molekul
\\(NH_3\\) dan
\\(CO_2\\). Ninhidrin yang telah bereaksi akan membentuk hidrindantin. Hasil positif ditandai dengan terbentuknya kompleks berwarna biru/keunguan yang disebabkan oleh molekul ninhidrin dan hidrindantin yang yang bereaksi dengan NH3 setelah asam amino tersebut dioksidasi.